返回列表 发布新帖

6月15日的汇评

评论84

willieloke楼主Lv.65 发表于 2009-6-15 17:06 | 查看全部
https://www.y2cn.com
叶华:市场目前见顶概率 大于继续上涨概率
2009年06月15日 14:06  叶华查看评论

  上周五受到市场消息面影响,非美货币开始调整,交易情绪开始有厌倦非美继续上涨的势头,趋势投资者还可继续持仓,其余交易风格投资者可保持观望。

  澳元/美元:

  支撑价位 0.7800-0.7850

  阻力价位 0.8250-0.8350

  操作策略 对于趋势交易者来讲目前澳元面临0日均线被跌破如何处理手中非美仓位的问题,理性的策略是先止盈,然后再观察后续走势。

  英镑/美元

  支撑价位 1.5900-1.5950

  阻力价位 1.6420-1.6450

  操作策略 英镑的反弹有一步到位之嫌,操作上仍然坚持长线看好,中短线调整的看法。

  美元/日元

  支撑价位 94.50-95.00

  阻力价位 98.50-99.00

  操作策略 日元走势陷入盘局,请投资者耐心等待日元方向突破出现再做交易判读。
论坛的一份子,献力由我开始。
回复 点赞

使用道具 举报

fx1088Lv.65 发表于 2009-6-15 17:11 | 查看全部
谢谢
哲学修养
回复 点赞

使用道具 举报

willieloke楼主Lv.65 发表于 2009-6-15 17:11 | 查看全部
杨文军:非美或深度回调 黄金见底反弹
2009年06月15日 14:07  杨文军查看评论

  上周GBP/USD收出一根长阳周K,不过上影线较长,且从日线看,未能突破前高,未来可能面临深度回调,出现双顶的几率较高。再看EUR/USD,形势也极为不妙,日线头肩顶形态愈发清晰。外汇市场内对非美的看法也是空气弥漫。今天开始进入6月下半月,数据较少,很可能延续上半月的走势。非美做多需警惕,时刻小心回调,我目前对市场的看法是暂时看空做空。不过,从技术形态来看黄金,黄金即将触底反弹,而随着朝核危机的升级,黄金的避险作用也将回归,本周黄金以做多为主。


  GBP/USD四小时图:

  今日英镑交易策略:

  1.如有效下破1.6340,进场放空,目标看向1.6240,如下破,再看向1.6125.

  2.如若上涨,在1.6520处进场做空,目标看向1.6340,再看向1.6240、1.6125.

wjun1.jpg

  EUR/USD日线图:
wjun2.jpg

  GOLD四小时图:
wjun3.jpg

  今日黄金交易策略:

  1.如跌至930.00,看其反应,如若得到有效支撑,进场做多,目标看向956.00;如若上破,再看向961.70.

  2.如跌破930.00,进场放空,目标看向914.00,如若下破,再看向890.00.
论坛的一份子,献力由我开始。
回复 点赞

使用道具 举报

willieloke楼主Lv.65 发表于 2009-6-15 17:12 | 查看全部
山姆:各国央行肯定不会抛弃美元
2009年06月15日 14:23  许戈查看评论

  对于各国央行转换美元储备的一点想法

  打一个比方说:小偷偷东西之前,会不会告诉你,我要偷你的东西?如果放在俄罗斯与巴西最近关于换储备的言论上, 当然这个比喻不太恰当。

  一国央行,若真下决心要换美元储备,那就私下里换就行了,为什么要公开吆喝? 因为从博弈角度上看,这种吆喝成本很高,大家都知道你央行要扔掉美元,买其它资产,那么,其它资产就升值了,你去买,不是要增加成本吗?这不合逻辑。

  合理的做法,就好比中国之前一直在买黄金,但一点消息都没有,外界只知道中国一直只有600吨黄金,到某一天,中国认为买得差不多了,公开宣布,已增加到1000吨以上。

  这样才是合理的。

  现在各国在说抛美元,无非是一种利益的博奕,即通过这种威慑,让美元不要过度贬值。

  就好比一个姑娘对流氓说:你再碰我,我就和你拼了。但她并不真希望和流氓拼了,只是想阻止目前发生的一切。

  目前任何一种资产仍无法取代美元,如果有的话,各国央行不需要说这么多,早就自己偷偷地换掉了。

  各国央行对美元储备有点类似于中国股民对于股市,跌的时候痛心疾首,底部割肉,想死的心都有,发不誓再碰股票,一旦股市一涨,全部就忘记,不断买入股票。

  等美元,不跌了,大家看,也许各国央行又是另一种姿态出现了。

  当然,个人认为,通过现在的问题,各国央行会减持一些美元,但肯定不会抛弃美元。因此美元的下跌,只是一个度的问题,是量变,而不是质变。
论坛的一份子,献力由我开始。
回复 点赞

使用道具 举报

willieloke楼主Lv.65 发表于 2009-6-15 17:13 | 查看全部
贾玉忠:欧元/美元趋势看跌 支撑1.3875/1.3808
2009年06月15日 15:09  贾玉忠查看评论

  今日欧元/美元趋势看跌,G8财长称“尽管全球经济出现了复苏现象,但形势仍不确定。”尽管提出外汇储备多元化,但美元的地位仍不可动摇。

  支撑位1.3875/1.3808 压力位:1.3948

  今晚关注指标:

  1》21点美国4月长期资本净流入(美元),上期数值558亿,去年同值1151亿;

  2》21点美国4月外资净买入美国公债(美元),上期数值553亿,去年同值802.8亿;

  3》21点美国4月资本净流入(美元),上期同值232亿,去年同值606亿。

  今日EUR/USD走势:下跌-回调-下跌-盘整
论坛的一份子,献力由我开始。
回复 点赞

使用道具 举报

willieloke楼主Lv.65 发表于 2009-6-15 17:15 | 查看全部
李京飞:美元指数大涨之前还会再次洗盘
2009年06月15日 15:30  李京飞查看评论

  目前不论在技术面还是在基本面上都支持美元指数上涨,但是以往几乎每次大行情之前,市场都会发动剧烈而快速的洗盘逼仓行为,这种洗盘的目的就是要让所有的散户出逃。数据方面近期利多美元的消息出现较为频繁,技术面上美元指数出现了四次探顶回撤走势,这种行情一旦突破将是明确的上涨行情启动信号,在目前的形势下我们认为美元指数还会再出现一轮剧烈的洗盘后才出现真实而长远的上升走势行情,已经进场的资金要做好风险防范措施,未进场的资金要耐心等待。
jfei.jpg
论坛的一份子,献力由我开始。
回复 点赞

使用道具 举报

willieloke楼主Lv.65 发表于 2009-6-15 17:15 | 查看全部
周志毅:继续持有欧/美空单 目标1.3625
2009年06月15日 16:00  周志毅查看评论

  上周五英国每日电讯报援引德国工商协会主席的话,提到这个欧洲最大经济体国家正面临着比去年金融危机时期更苦难的信贷环境,在德国几乎有三分之一的大型企业目前正遭遇信贷紧张的窘境;在此以后召开的8国财长会议中,上个月曾信誓旦旦说要坚持美国国债并购入IMF债券的俄罗斯财长库德林转变当初的话锋,说美元基本面依旧良好,即使购买IMF债券也并不会改变俄国对美元一贯立场。这两大消息面推动了周五美元的大举反攻,给短线非美上涨前景蒙上阴影。建议投资者继续持有EUR/USD的空单,止损设在1.4180以上,第一目标看1.3625,第二目标看1.3200附近。
论坛的一份子,献力由我开始。
回复 点赞

使用道具 举报

willieloke楼主Lv.65 发表于 2009-6-15 17:22 | 查看全部
傅晨宇:6月15日-6月19日汇市走势预测
2009年06月15日 16:14  傅晨宇查看评论

  AUD/USD
  澳元自双底反弹后,汇价接近双底反弹理论高度,连续两周受阻于0.8250附近。日图5日、10日均线粘合,MACD死叉二次发散,有短期见顶可能,本周汇价将测试0.7890附近,如击穿0.7820则双顶形成;反之若上破0.8263,则指向前期高点、双底理论高度0.8500。
cyu1.jpg

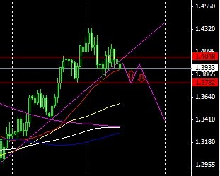
  EUR/USD
  欧元2周前在强压力位1.4330遭遇打压,接连收阴锤和阳星,5周、60周均线临近交叉。日图在4月21日以来的上升通道下沿持续运行,但仍孕在6月5日、8日的阴线之中,属旗形整理,后市向下几率较大,本周有望到达1.3800附近。
cyu2.jpg

  GBP/USD
  英镑连续两周受阻于1.6620强阻力位。自3月反弹至今,日图第一次出现未能突破前高(1.6660)的情况,有反弹终结的可能。但形态没有走出明显信号,且汇价仍处于上升通道之中,本周有望在(1.6180-1.6660)之间区间波动。后市如突破1.6660,则有望到达1.7390。
cyu3.jpg

  USD/CAD
  美加经过一轮快速下跌后,触及08年9月高点及07年11月以来的长期上升通道下沿,并开始反弹。周线收阳线、十字星的组合,后市如向上突破1.1290,则反弹高度将非常可观;反之若破败此位则指向1.0300。
cyu4.jpg

  USD/JPY
  美日目前处于箱体震荡行情,101.43是前期重要压力位,94.60为双底颈线位,87.12为双底底部,汇价将于此3个点位间,展开震荡。
  美日上周在阳线中收下影阴十字,本周有向上再次测试101.00附近压力。
cyu5.jpg
论坛的一份子,献力由我开始。
回复 点赞

使用道具 举报

willieloke楼主Lv.65 发表于 2009-6-15 17:24 | 查看全部
下恶为冰:今日晚间欧元、英镑走势分析
2009年06月15日 16:15

b1.jpg

b2.jpg
论坛的一份子,献力由我开始。
回复 点赞

使用道具 举报

willieloke楼主Lv.65 发表于 2009-6-15 17:27 | 查看全部
李金路:欧/美1.3880进场做多
2009年06月15日 16:47  李金路查看评论

  方向 进场 获利 止损

  欧/美 涨 1.3880 1.4100 1.3820

  英/美 涨 1.6350 1.6550 1.6300

  美/瑞 跌 1.0890 1.0730 1.0950

  美/日 跌 98.50 97.50 99.00

  黄/金 涨 931.00 943.00 925.00

  以上投资建议纯属个人意见,仅供参考

  全球股市行情:

   jlu1.jpg

  每日重要消息数据:

  日本内阁府(The Cabinet Office)周五公布的数据显示,随着经济衰退程度的减轻,日本家庭消费者信心指数在5月份升至了08年3月以来的最高水平。数据显示,日本5月家庭消费者信心指数上升3.3点,至35.7,为该指数连续第5个月回升.

  日本股市周五收盘走高,日经225指数突破10,000点大关,为逾八个月以来首次,因美国股市上扬以及好于预期的中国和日本经济数据提振了市场人气。收盘,日经225指数上涨154.49点,至10,135.82点,涨幅1.6%,创去年10月7日以来最高收盘水平(当时收于10,155.90点)。该指数尾盘一度最高涨至10,170.82点。
论坛的一份子,献力由我开始。
回复 点赞

使用道具 举报

回复

本版积分规则

关灯 在本版发帖
扫一扫添加微信客服
QQ客服返回顶部
快速回复 返回顶部 返回列表