返回列表 发布新帖

喊单!跌倒之后的再次爬起......

评论433

数字游戏而已楼主Lv.3 发表于 2009-1-9 23:19 | 查看全部
回复 点赞

使用道具 举报

数字游戏而已楼主Lv.3 发表于 2009-1-12 14:55 | 查看全部

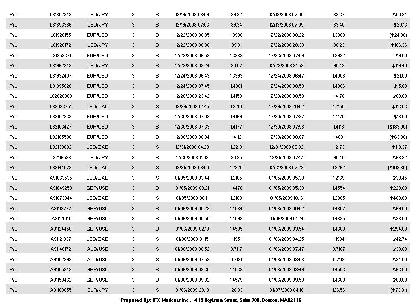
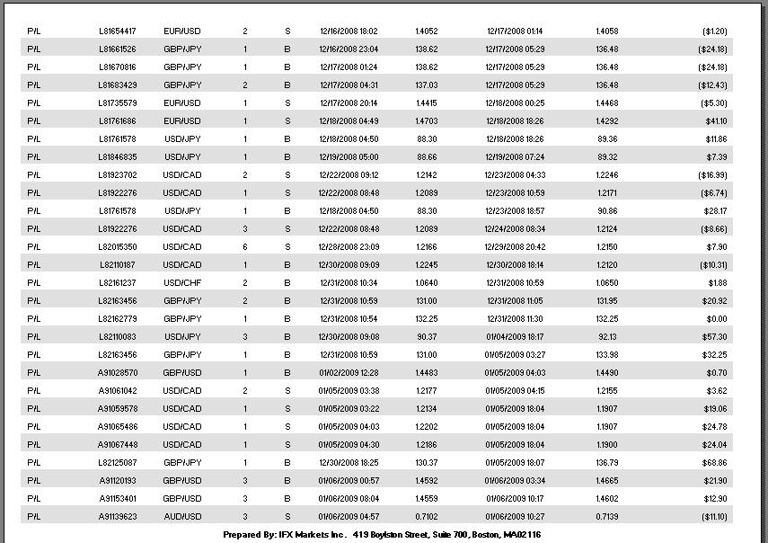
晒几个帐户

应广大汇友的要求,也征得了客户本人同意,将本人公司技术部门同事代理操作的几个小户近期记录发布出来,请大家多提意见,不足地方请指正.

第三个户本来是远远达不到我们委托理财的要求,因为投资者为一个年迈教师,使用退休金投资,一再亏损,加上相识多年,所以在最后关头,由我们技术总监亲自帮忙操作至今,挽回部分损失。

最后再说明一下,交易记录只能代表历史,其中的操作理念和操作规范才是真正能够长久赢利的保证,希望也对大家有所帮助,另外请不要再提公布历史记录的事情,这个市场只要肯努力是可以赚到钱的,祝大家交易顺利。
1.1.jpg
1.2.jpg
2.1.jpg
2.2.jpg
2.3.jpg
3-1.jpg
3-2.jpg
3-3.jpg
回复 点赞

使用道具 举报

wuqi981Lv.2 发表于 2009-1-12 15:09 | 查看全部
回复 点赞

使用道具 举报

dpmqLv.8 发表于 2009-1-12 15:25 | 查看全部
做你的经纪人不错,你做单很多啊,呵呵
回复 点赞

使用道具 举报

烟圈老鼠Lv.2 发表于 2009-1-12 15:48 | 查看全部
市场上是真正有人赚到钱的
回复 点赞

使用道具 举报

烟圈老鼠Lv.2 发表于 2009-1-12 15:50 | 查看全部
只是赚到钱的人没有我们那么高调而已
衷心希望楼主取得更好的成绩
另外冒昧的问一句:楼主跟博金策略网什么关系?
回复 点赞

使用道具 举报

数字游戏而已楼主Lv.3 发表于 2009-1-13 15:17 | 查看全部

总结最近的喊单

总结最近的喊单:总的来说相比以前是有一点点的进步,可真正的模式也还是没有固定下来,也没有做到以小博大,因为我最近在尝试着另一个方法,那就是速战速决,快进快出。这样的确市场歼灭到自己的可能性很小,可同时这样也很累,盯盘的时间太长了。而且还要动很大的思想在想着在哪里平仓会好一点。很累。以前就是判断不正确,胜率很低,可我能坚持到市场扫我的止损点。可现在感觉判断的胜率提高了,却又好像缺少了一点坚持不动。不过还是自己没有真正的确定用什么样的方法。要学习的还太多。只能是慢慢总结和进步。每天进步1%我就很知足和开心了。也许前辈的“股票作手”“少年作手”的那八个字还是永恒的精典吧:判断正确,坚持不动!我现在的那些身边的朋友都很历害,他们的目标是一年1000%,而我只求一年稳定200%就超知足了。不知道什么时候才能达到理想的状态。要向他们学习的也太多,能认识他们是一件超幸福的事情,有时一些朋友在一起聊聊技术,相互吸收一些优点,防守住缺点,也是非常不错的进步方式之一,陈安之说得一句话,要想成为 什么样的人就要和什么样的人在一起。我很喜欢这一句话,只要能多接触到一些高手,哪怕是从最最低层的工作做起,也是一件超幸福超幸福的事情。最近有点累,也想好好的休息一段时间,想过了年之后的正月初八又正式开始,这一些时间里就是调整期吧,身体也有点累,思想也有点累,也许只有真正懂得什么时候会休息的人反而再上战场的时候效果会更好一点吧。

2009年的正月初八见了。
在这感谢一直观看我喊单的汇友们,谢谢!希望2009年所有的中国人的运气都会越来越好!感谢!
回复 点赞

使用道具 举报

烟圈老鼠Lv.2 发表于 2009-1-15 21:27 | 查看全部

这么好的贴就应该顶上来呗!

这么好的贴就应该顶上来呗!加油!这一行上赚分钱不容易的.
回复 点赞

使用道具 举报

数字游戏而已楼主Lv.3 发表于 2009-1-16 21:03 | 查看全部

孙子“兵闻拙速,速战速决”

孙子“兵闻拙速,速战速决”

用兵贵在速胜,不宜久拖不决,是孙子指导战争的基本思想。这既涉及到战略问题,在战略 进攻的一方要尽量速战速决;也涉及到战术问题,要兵贵神速,以便出其不意的战胜敌人。 在《作战篇》中,孙子从战争对经济的依赖关系出发,集中阐释了“兵贵胜、不贵久”的思 想。在《谋攻篇》、《用间篇》中,对兵久之害也有论及。在《势篇》、《军争篇》、《九 地篇》中,则对如何才能在战争指挥中作到快速用兵作了研究。
总之,无论是在战略进攻还 是战争指导中,孙子都强调一个“速”字,避免一个“久”字,反映了春秋时期战争的特点 和战争指导的普遍规律。
为什么在战略进攻的一方必求速胜呢?孙子在《作战篇》中集中作了理论分析。他从战争对 人财物的巨大消耗出发,指出战争旷日持久,必然耗费巨大,带来种种不利的后果。孙子估 计,一场全国动员的总体战,对国力的消耗大约是十分之六七的程度。时间一长,任何一个 国家都无法承受。并且远途运输、物价飞涨、徭役加重,都会造成人民的重负。
而更为严重 的是,动员十万之师出征,内外骚动,必然影响生产,会使七十万家无法从事正常的耕作 (《田间篇》)。除了经济上的考虑,孙子还看到旷日持久的战争将影响士气,造成“钝兵挫 锐”的后果。如果是强攻敌人的城池,“杀士三分之一”(《谋攻篇》),还会造成巨大的牺 牲 。同时,时间一长,各种条件的变化还会影响外交结盟,一旦“诸侯乘其弊而起”,后果不 堪设想。所以,孙子主张“兵贵胜,不贵久”的思想,是长期战争经验的总结,也有其坚实 的理论基础。
怎样才能做到在战略上速战速决,孙子认为最重要的是要“役不再籍、粮不三载”,确保把 有限的资源做到高效的投入。也就是说,第一次打击是否有效,将严重影响战争进程,而作 为战略进攻的一方,一定要作好充分准备,确保一战而胜,不允许反复追加战争成本。
其次 是要“务食于敌”,以战养战。孙子计算在战区取得的一石粮食或草料,大体相当于远途运 输的二十石左右。因此,他主张在敌国就地筹集粮饷,以减轻国内的压力。最后是要用重赏 等手段鼓励将士尽量多的虏获敌方的战车、粮饷等作战物资,优待俘虏,为我所用。
为了在战略战术上速战速决,孙子还提出了一系列原则和方法。孙子指出,在战争的谋划上 ,要做到以高明的谋略胜敌,通过伐谋伐交,争取速胜,而不和敌人拚消耗,攻城硬拚,造 成无谓的损失,延续战争的进程。
在战争指导上,孙子要求部队“其疾如风、侵掠如火,动 如雷震”,以突然和迅疾的作战行动攻敌不备,突袭取胜。其基本方法是“乘敌之不及, 由不虞之道,攻其所不戒也。”为此,他要求对部队真实的攻守方向进行成功的掩饰,以保 证击敌的突然性,即“始如处女,敌人开户;后如脱兔,敌不及拒。”抓住每一个战机,主 动出击。“敌人开阖,必亟入之”(《九地篇》),造成敌人的被动。在战势控制上,孙子主 张“势如弓弩,节如发机”,一旦时机成熟,就要把部队象离弦之箭一样射将出去,取得速胜。
速战速决必然涉及到部队的快速调动。孙子在《军争篇》中又专门研究了部队的行军速度对 携带的辎重和作战的影响。要求指挥员掌握其规律,“以迂为直,以患为利”,“后发先 至”,以保证不致因部队的快速调动影响作战能力的发挥。
孙子“兵闻拙速,速战速决”的思想具有重要的理论价值和实践意义。证之以越战和海湾战 争,便可清楚的看出这一思想的重要性。在越战中,美国采用逐步升级的谋略,把战争实力 逐批次的投入战场,结果旷日持久,惨败而归。海湾战争中吸取了越战的教训,一次就调集 了绝对优势的兵力,结果仅用42天,地面战争不到100小时就取得了全胜。从这对比鲜明的 战例中,不难看出孙子天才的思想对现代战争仍然具有重要指导意义。
回复 点赞

使用道具 举报

火箭射手Lv.1 发表于 2009-1-20 18:14 | 查看全部

好贴顶一个!

孙子曰:“兵聞拙速,未睹巧之久也”!
回复 点赞

使用道具 举报

回复

本版积分规则

关灯 在本版发帖
扫一扫添加微信客服
QQ客服返回顶部
快速回复 返回顶部 返回列表