设为首页
收藏本站
商务合作联系微信/QQ:771081939
金股汇论坛
Portal
喊单
Group
广播
Follow
视频
动态
Space
新闻
报价
量化交易
排行榜
Ranklist
登录
注册审核通过,发送账户名称给版主,请加版主微信:1044631611
金股汇论坛(Y2论坛)
»
导航
›
外汇走势分析,外汇行情咨询与讨论
›
黄金外汇论坛
›
极好的买入USDCAD的机会,简直就是捡钱
1
2
/ 2 页
下一页
返回列表
发布新帖
极好的买入USDCAD的机会,简直就是捡钱
3090
16
usmoneyes
Lv.2
发表于 2008-6-15 11:54
|
查看全部
阅读模式
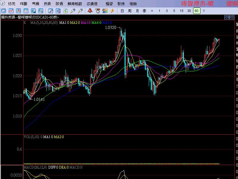
只有当钱堆在墙角时,聪明人才会去捡,现在就是这样的机会。
USDCAD可能是最先筑起月线大底的货币对,周线、日线均已确认突破,长、中、短、超短期均线都指向一个结论:买入!现在是一次极好的买入机会。
火爆!鲨版来了
回复
转播
使用道具
举报
提升卡
置顶卡
沉默卡
喧嚣卡
变色卡
显身卡
电梯直达
评论
16
psxf_4
Lv.3
发表于 2008-6-15 12:18
|
查看全部
周五满金宝里面1.025x开了仓,不设损了red:
回复
点赞
使用道具
举报
显身卡
单身情哥
Lv.1
发表于 2008-6-15 14:02
|
查看全部
不认同!加元的走势滞后,也许就要面临拐点了!
回复
点赞
使用道具
举报
显身卡
yongrun
Lv.8
发表于 2008-6-15 19:46
|
查看全部
回复
点赞
使用道具
举报
显身卡
lele666
Lv.3
发表于 2008-6-15 20:33
|
查看全部
我也不这么认为 美圆 会有个回落 回落后 是上还是下 还不知道
回复
点赞
使用道具
举报
显身卡
tigerking
Lv.1
发表于 2008-6-15 21:04
|
查看全部
NB那么大,早干什么去了,上面就是0350,现在买不是找不自在?就你这几条破均线,歇吧。
不喜欢你这种做汇的语气,见多了浮夸的心态,必亏无疑。
回复
点赞
使用道具
举报
显身卡
tigerking
Lv.1
发表于 2008-6-15 21:10
|
查看全部
就冲你那句话,也是不合逻辑。世界上有那样的好事钱堆在那里就等你一个聪明人去捡。
"堆在墙角的钱,只有SB才去捡!"
回复
点赞
使用道具
举报
显身卡
Juling888
Lv.10
发表于 2008-6-15 21:43
|
查看全部
回复
点赞
使用道具
举报
显身卡
tom520
Lv.2
发表于 2008-6-15 21:46
|
查看全部
回复
点赞
使用道具
举报
显身卡
tigerking
Lv.1
发表于 2008-6-15 22:37
|
查看全部
遇到这种不合谐音,我就喜欢踩一下。前段时间在其他地方遇到个疯子假装高手在1.98喊多英镑,我就往死里踩。呵呵。
回复
点赞
使用道具
举报
显身卡
1
2
/ 2 页
下一页
返回列表
发布新帖
回复
高级模式
B
Color
Image
Link
Quote
Code
Smilies
您需要登录后才可以回帖
登录
|
注册审核通过,发送账户名称给版主,请加版主微信:1044631611
本版积分规则
发表回复
回帖并转播
回帖后跳转到最后一页
usmoneyes
Lv.2 江湖新秀
11
主题
91
回帖
121
积分
+ 关注
发消息
转贴~投错胎了,看看外国的社会福利
2010-12-16
转贴~准备金率的真相,跟你的储蓄说再见吧。~真知灼见,必须看
2010-12-14
看看真正的“马前炮”,兼批只会用“显微镜”不懂得用“望远镜”的“高手”
2008-08-15
结合大众心理现象浅谈投机成败
2008-08-09
黄金石油死了,美元活了
2008-08-02
查看更多
图文热点
2026.4.10 图文交易计划:镑日突破压制 结
414 人气
#黄金外汇论坛
2026.4.9 图文交易计划:美指明显反弹 短期
388 人气
#黄金外汇论坛
2026.4.8 图文交易计划:欧日坚决阳线 奠定
639 人气
#黄金外汇论坛
2026.4.7 图文交易计划:美指持续震荡 数据
553 人气
#黄金外汇论坛
上一主题
下一主题
浏览过的版块
sharkeater 专栏
黄金 白银
关灯
在本版发帖
扫一扫添加微信客服
QQ客服
返回顶部
快速回复
返回顶部
返回列表