设为首页
收藏本站
商务合作联系微信/QQ:771081939
金股汇论坛
Portal
喊单
Group
广播
Follow
视频
动态
Space
新闻
报价
量化交易
排行榜
Ranklist
登录
注册审核通过,发送账户名称给版主,请加版主微信:1044631611
金股汇论坛(Y2论坛)
»
导航
›
外汇走势分析,外汇行情咨询与讨论
›
黄金外汇论坛
›
11月17日的外汇资讯,汇评与新闻
1
2
3
4
5
6
7
8
9
10
... 19
/ 19 页
下一页
返回列表
发布新帖
11月17日的外汇资讯,汇评与新闻
电梯直达
评论
182
willieloke
楼主
Lv.65
发表于 2006-11-17 15:49
|
查看全部
陶行逸11.17:黄金等待观望
等待观望
油价在纽约盘的暴跌,并创出一年来的新低和美元的反弹让昨日我们在突破下降通道后的入场机会又一次中途夭折,金价这几日呈现明显的大幅震荡的特点.这里我们明确一下操作思路,应以短线为主.由于我们仍旧看好金价的中期趋势,中线投资者则可逢低入场,分批做中线多头的布局.
震荡行情里可以明显参考的操作依据难以确定,投资者可根据震荡指标的超买超卖判断短线买卖的机会,而最好的策略是等待观望.
火爆!鲨版来了
回复
点赞
使用道具
举报
显身卡
willieloke
楼主
Lv.65
发表于 2006-11-17 15:51
|
查看全部
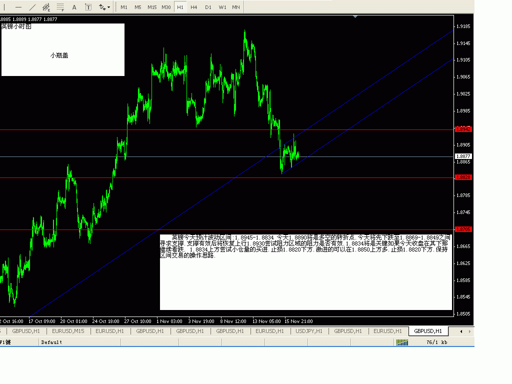
唐国平11.17:外汇保证金操作建议英镑及欧元
英镑:今天预计在1.8945-1.8834里面波动今天1.8890将是多空的转折点。今天本人更倾向于回跌至1.8869-1.8849之间寻求支撑。支撑有效将恢复上行1.8930尝试阻力区域是否有效。1.8834是关键如果今天收盘在其下那么继续看跌!目标1.8601。保持区间操作的思路。可在1.8834上方尝试小仓量的买进止损在1.8820下方。
欧元:预计波动区间在1.2847-1.2752 多空的转折点是1.2810 今天欧元会先尝试1.2785的支撑是否有效。得到支撑将向1.2810迈进。尝试突破。保持区间交易。
回复
点赞
使用道具
举报
显身卡
willieloke
楼主
Lv.65
发表于 2006-11-17 15:53
|
查看全部
黄美斯11月17日纵横汇海分析
重要经济数据:
11月17日
18:00
欧元区9月对外贸易平衡
预测:25亿赤字‧前值:58亿赤字
21:30
美国10月房屋开工年率
预测:169.0万‧前值:177.2万
美国10月营建许可年率
预测:162.5万‧前值:163.8万
11月16日贵金属行情:
最高 最低 收市
港金
(HKG) 5820/ 5824 5733 / 5738 5734 / 5739
伦敦黄金(XAU) 628.30 / 628.80 618.70 / 619.40 618.80 / 619.50
伦敦白银(XAG) 13.13 / 13.16 12.83/ 12.87 12.83 / 12.87
11月16日 港金息率为低息65元(每百两计)
伦敦黄金
上午定盘价:624.50
下午定盘价:624.75
伦敦收盘价:624.00/624.75
伦敦白银定盘价:12.94
12月纽约期金:
开市价:627.0
最高: 629.0
最低: 621.1
收市价:621.2
________________________________________
美国通膨缓和
美国周四公布的数据显示,10月整体及核心消费者物价指数(CPI)均低于预期,而10月工业生产数据也偏弱,显示美国经济降温的同时,物价上涨趋势也在减弱。美国10月CPI较前月下滑0.5%,扣除食品和能源的核心CPI成长0.1%,市场预期分别为下降0.3%和上升0.2%。核心CPI较上年同期成长2.7%,也低于市场预期的上升2.9%。美国公布的经济数据巩固了美国经济成长放缓,通膨温和的观点,尽管外国投资者对美国资产的需求下降。在政府公布10月核心CPI较前月温和增长0.1%后,美元最初全线下跌,但在财政部公布资本凈流入数据后,美元走势逆转。财政部公布9月资本凈流入537亿美元,低于8月的971亿。
伦敦黄金
________________________________________
WGC报告显示印度在第三季黄金需求增长
世界黄金协会(WGC)称印度第三季黄金消费较去年同期增长约16%至164.8吨,因宗教节日排灯节(Diwali)前的降价刺激了投资者和珠宝商买盘。印度珠宝商的购买量在第三季上升12%至127.8吨,买家抓住价位较低之机备货,为10月的印度教排灯节作准备。全球最大黄金消费国印度的投资需求该季上升31%至37吨。WGC周三发布的季度需求走势调查显示,印度交易商2006年排灯节相关的销售增长40%。该调查称季风季节天气情况良好,也预示着在未来几个月乡村对黄金的需求看好,但本季度印度教婚礼的吉日有限,近期可能会影响黄金购买活动。印度10多亿人口中有三分之二靠农业为生,因此季风季节在决定农村收入和对许多商品的消费支出方面扮演着关键角色。印度的宗教节日始于8月,高峰是排灯节,印度人在宗教节日和婚礼时喜欢赠送黄金作为礼物。
中国用于珠宝和投资用途的黄金需求今年第三季度攀升约3%至62.9吨。报告指出随着年终将近和传统节日春节的到来,金价保持稳定或者稳步上涨应能使中国的黄金需求进一步上升。不过,报告还称经济环境不是非常有利,因此限制了消费者在非必需品上面的支出。随着金价攀升消费热点也转向低重量珠宝,这相应亦降低了总体需求。
油价拖累黄金回软
纽约商品期货交易所(COMEX)期金周四回吐早市涨幅收低。在美国政府公布10月CPI较下降0.5%后,金价最多曾上涨至628水平。然而后劲不继,加上12月原油价期在周五到期前,市场急于结仓,令油价大幅回落,从而加剧金价回吐压力,至今早已低见至617水平。
需待破位确立走势
技术指标所见,黄金昨日收市价已第三个交易日低收于9天平均线下方,而4天平均线亦续为下破9天平均线;MACD指标之破位亦已明确释出沽货讯号,似乎是弱势趋向明显,只是鉴于近期金价上落较反复,难保其出现突如其来之反扑,故为着确立其弱势之展现,则需以100天平均线为指导界线,金价在九月及十月份受压于100天平均线,至11月1日出现突破,低位亦未有再回落于100天平均线下方,故现时处于613.30美元之100天平均线若是日失守,才见金价有机会出现进一步较明显之下滑。往下延伸目标预计可看至200天平均线608水平,以及604水平。现阶段较近阻力预计在620.70水平,回破或金价又重整上落,其后则重新以623.30及627水平为阻力。
伦敦黄金 11月17日
预测早段波幅:612.30 - 620.70
支持位:609.60 - 604.00
阻力位:623.30 - 627.00
伦敦白银
________________________________________
指标趋淡发展
伦敦白银方面,昨日走势续以10天平均线为依据,低位仅触及此技术指标。之前已提及价位收市价低位10天平均线下方将可印证跌势之展开,目前处于12.77水平。另外,4天平均线则处于12.81水平,骤看极为靠近10天平均线,换句话说,倘若价位短期再往下走动,将会拖累4天平均线亦往下延伸,届时将造就出沽货讯号之利淡交叉。实际上,相对强弱指标及随机指数亦处于下跌趋势之中,而MACD指标亦见初步交叉,形势上〝接近〞对银价不利,但同样以审慎起见,未有失守12.40水平,也未许轻言银价转弱。是日较近支持则可看至12.61及12.50水平。预计12.93美元为即市较近阻力,较大阻力则位于13.08及13.20水平。
伦敦白银 11月17日
预测早段波幅:12.61 - 12.93
支持位:12.50 - 12.12
阻力位:13.08 - 13.20
欧元:走势偏软▼
________________________________________
指标偏淡发展
欧盟统计局公布欧元区10月消费者物价调和指数(HICP)为较上年同期成长1.6%,预估亦为成长1.6%。
欧元走势方面,与其它主要货币相比,其兑美元之表现已较为强稳,虽然向上仍无法突破1.2850水准,但同样下方亦见于1.2770有较大支撑。然而,窄幅待变格局依然,明确走向亦有待破位发展。5天与10天平均线分别处于1.2805及1.2795,形势上有看淡交叉出现之机会,只是首要条件是欧元可成功跌破1.2750水平。同样早前欧元力求上试50日保历加信道顶部1.2870区域附近,但久攻不下,亦有走势修正之需要。以自10月24日之升势计算,38.2%调整恰好为1.2750,50%则为看至1.2715水平,61.8%则可看至1.2665。预计较关键支持可看至1.26关口。较近阻力可先看1.2840水平,预计20日保历加通道1.2910则为较重要阻力。
日圆:即市倾向续跌▼▼▼________________________________________
央行未有释出年内升息讯息
日圆周四早盘一度走高,因先前有报导引述中国人行高层官员谈话指出,该行已经为总值1兆美元的外汇储备买进日圆。但日圆其后回吐稍早涨幅,因上述评论与人行官员以往的谈话一致,并不是未来将如何做的说法,因此市场反应有限。
在两天政策会议结束后,日本央行委员一致通过维持隔拆利率目标于0.25%不变。日本央行自7月进行六年来首度升息后,即未调整利率政策。福井及其它央行官员均曾指出,只要经济发展符合央行在展望报告中所预期,则有必要缓步升息。央行在该报告中指出在物价稳定的情况下,经济可能达成持续成长。由于对于日本经济的力道存有疑虑,市场预期日本央行在下次升息后,可能要假以时日才会再度升息,这使得日圆再回弱之118区间。日本央行总裁福井俊彦对货币政策发出中性论调,打压了市场关于央行将于年底之前升息的预期。
日圆即市可望进一步走弱
日圆若明确跌破25天平均线118.10水平,将可望临近亦会展开较明显之跌势,下测支持可望见至118.60之上周低位或119.00关口,较重要支撑则见至119.80/120.00区域。RSI及STC亦正保持偏软发展,而MACD亦已发出利淡讯号。倘若以保历加信道所见,目标支撑则会看至20日通道顶部119.30及50日通道顶119.70水平。关键则仍关注于120水平。较近阻力则见于117.50及117关口。
建议策略:
118.00沽出日圆,117.10止损,119.30平仓目标
相关要闻:
- 日本央行周四公布经济月报,维持对经济的看法不变,并称日本经济正在温和扩张。央行月报指出由于油价下跌的效应犹存,企业物价指数(CGPI)上扬速度可能持续放缓。央行维持对消费的评估不变,央行指出消费正处于成长趋势。央行也维持先前看法,预期生产将维持在成长趋势。除此之外,央行称消费者物价可能会维持正成长趋势,与前月预估一致。
- 日本央行总裁福井俊彦表示,他不会排除任何未来升息的可能时点,他并强调央行对于何时升息没有预设想法。他并指出最近像个人消费等疲软的经济数据,不会改变日央行两周前在半年经济展望报告中对经济的评估看法。市场多数仍预期日本央行将在明年1月或2月调整政策,但周二公布的经济成长数据较预期强劲,重新引发部份市场人士猜测日央行最快12月就会升息。但上周公布的疲软机械订单数据,以及国内生产总值(GDP)数据中消费及薪资均呈低迷的表现,也让市场担心日本经济碰上低潮。福井俊彦指出央行正观察国内外各种经济数据,包括圣诞节前后的美国消费情况等;但他称日本货币政策并未与美国圣诞节销售力道有直接的关连。他同时指出依据既定事件的安排日程来决定货币政策,像是他担任央行总裁任期届满等等会导致错误发生。
- 日本财务省事务次官藤井秀人周四表示,他并未获悉本周末20国(G20)墨尔本会议是否会讨论汇率。藤井秀人指出他预期七大工业国(G7)将与中国、印度、俄罗斯及沙特阿拉伯等新兴经济体,针对能源、天然资源等议题交换意见。
英镑:破位将见弱势扩展▼▼▼
________________________________________
消费数据强劲
继周三英国公布强于预期的房屋数据后,零售数据再度优于市场预期,英国销售数据意外强劲令市场重又争论英国央行明年是否会进一步升息。英国10月零售销售较前月上升0.9%,较预估值高出两倍,9月时为下降0.4%,这显示出在升息的情况下,消费者支出仍保持韧性。
50天MA成即市关键
英镑连挫第四个交易日,但亦见在1.8850获支撑。技术形势上, 50天平均1.8850仍为重要支持,破位才见弱势进一步扩展。日线图MACD已出现看淡交叉,而RSI及STC则逐步下滑向超卖区域,预示短线汇价走向倾向下跌。而20日保历加通道底部1.8730可为较重要支持位。至于10天平均线则为较大阻力,回破此区才见英镑重组回稳,否则依然受压则仍见下调压力;较近阻力则可见于5天平均线1.8920水平。
建议策略:
1.8900沽出英镑,1.9000止损,1.8770平仓目标
相关要闻:
英国皇家测量师学会(RICS)发布的调查显示,在截至10月的三个月中英国房价以逾四年来最快步伐上升,进一步证实尽管贷款成本增加,但是房市仍强韧.RICS称房价差值从前次的+45.7上升至+48.1,为2002年9月以来最高,并且较长期均值+21增加了一倍多。
瑞士法郎:即市倾向走跌▼▼▼________________________________________
技术形势呈待变
技术分析所见,同样4天平均线正趋向跌破10天平均线,利淡讯号大有机会在短期内形势。估计50天平均线1.2525水平将为即市重要支持,另外1.2580亦为关键支持,此区之触碰将会形成双底型态,以致此区亦变成为颈线,破位亦见新一浪疲软走势,初步延伸目标可看至250天平均线1.2615水平。预计1.2430水平将为较近阻力,此区为100天平均线位置。其后较大阻力位则可参考至1.2340/60水平。
建议策略:
1.2450沽出瑞郎,1.2340止损,1.2600平仓目标
财经要闻
最新公布的路透调查显示,美国通膨趋于温和的迹象令市场更加确信联邦储备理事会(FED)将在一段时间内维持利率不变,其中更有预期FED将于明年某时候降息。路透19位接受调查的受访者全部预期FED在12月12日的下次政策会议上将维持指标利率不变。周四公布的数据显示,美国10月核心消费者物价指数(CPI)较前月成长0.1%,略低于市场预期的上升0.2%;较上年同期则成长2.7%,低于市场预期的上升2.9%。CPI数据减轻了一些通膨方面的压力,并提高了FED的满意程度。一些周四公开发言的FED决策官员对周四的CPI数据表示欣慰,但仍以强硬语气谈论通膨,不过市场认为这并不预示FED会在短期内调整利率。另外,19位受访分析员中有12位预期,随着经济在房地产降温影响下继续放缓,FED将于明年降息;相比之下,有七位分析员预期FED将进一步升息,因经济成长加快且通膨忧虑难以消除。
纽约商业期货交易所(NYMEX)原油期货周四下跌逾4%,收于近一年来的最低点,因投资者赶在周五近月12月期货到期前结清部位。NYMEX-12月原油期货下跌2.50美元,收报每桶56.26美元。石油输出国组织(OPEC)成员国在10月达成自11月起日减产120万桶的协议,但根据石油咨询机构Petrologistics的数据,除伊拉克以外的OPEC成员国11月日产量下降至2,720万桶,实际仅执行了协议减产量的一小部分。
美国联邦储备理事会(FED)公布美国10月工业生产增长0.2%,设备利用率为82.2%;9月工业生产修正后仍为下滑0.6%。市场原本预期美国10月工业生产增长0.3%,设备利用率为82.0%。
纽约商品期货交易所(COMEX)期铜周四收于略高于19周低位的水准,继市场未能积聚上档动能后,技术性卖盘在市场涌现。COMEX-12月期铜收低5.35美分报每磅3.0410美元,高于周一触及的自6月28日以来的低位3.02美元。期铜未能突破3.10美元的水准,因此触发一些在短期作好仓的投资者出清部位。现货月11月期铜下跌5.15美分,收报3.0360美元。从基本面来看,市场对明年铜供应充足的预期支撑了市场的空头人气。
全美住宅建筑商协会(NAHB)周四公布调查显示,美国房屋营建商11月乐观情绪指数连续第二个月上升,因促销活动提高了消费者的负担能力。该团体公布的声明称,11月NAHB/Wells Fargo Housing Market指数上升至33,10月指数为31,9月时为30,为1991年以来最低,当时经济陷入了衰退。NAHB表示未来六个月的销售预期指数较10月时上升4点至46,衡量销售前景的指数上升3点至26。
美国财政部公布美国9月资本凈流入降至537亿美元,低于8月的971亿。财政部此次公布的数据采用新的格式,其中包括短期美国资产。9月的资本流入规模不足以填补当月643亿美元的贸易逆差。9月资本流动报告包括外国持有短期美元证券的数据,以及非市场交易流动资本估值。
据伊朗官方通讯社报导,伊朗总统阿玛迪内贾表示,该国将很快完成核计划的最后一步,但他并未阐述甚么是"最后一步"。伊朗此前曾表示尽管联合国要求其停止进行铀浓缩,但该国仍将继续推进核计划。
回复
点赞
使用道具
举报
显身卡
Juling888
Lv.10
发表于 2006-11-17 15:54
|
查看全部
xiexie
回复
点赞
使用道具
举报
显身卡
willieloke
楼主
Lv.65
发表于 2006-11-17 15:55
|
查看全部
马珂威11月17日货币操作建议
每日操作建议
一.当日各币种可能捕捉之波段入场机会
1.美圆兑日圆: 买入美圆:115.60止损:115.30目标:122.00
买入美圆:114.40止损:114.10目标:122.00
2.英镑兑美圆: 买入英镑:1.8840止损:1.8810目标:1.9250(成交持有)
3.欧圆兑美圆: 买入欧圆:1.2740止损:1.2710目标:1.3150(成交持有)
买入欧圆:1.2790止损:1.2760目标:1.3000
4.澳圆兑美圆: 买入澳圆:0.7630止损:0.7600目标:0.7950(成交持有)
5.美圆兑加圆: 卖出美圆: 1.1450止损: 1.1480目标: 1.1200
买入美圆:1.1030止损:1.1000目标:1.1400
6.美圆兑瑞郎: 卖出美圆:1.2750止损:1.2780目标:1.2270(成交持有)
卖出美圆:1.2510止损:1.2540目标:1.2200(成交持有)
7.英镑兑日圆: 买入英镑:215.60止损:215.30目标:229.00
卖出英镑:223.90止损:224.30 目标:217.50
以上买卖点仍需适当校正,可能是捕捉波段之理想价位,但对交易本身需保持高度警惕,在价格走势模糊时,需即刻离场观望。
以上仅为个人观点,供你参考,我们的观点和估计构成了我们的判断,并在不通知的情况下随时可能改变,以往的业绩并不构成对未来结果的暗示。
基本面情况:
昨日公布数据:1.美国11月11日当周初请失业金人数降至30.8万;预期为31万。2.美国10月消费者物价指数月率下降0.5%;年率上升1.3%。3.美国10月核心消费者物价指数月增0.1%;年增2.7% 。4.美国10月实际平均周薪月率上升1.3%。5.美国11月11日当周4周均申请失业金人数增至31.375万;前周为31.175万。6.美国8月净资本流入修正后为971亿美圆;美国9月资本净流入537亿美圆;预期750亿美元。7.美国9月制造业产出下降0.2%;产能利用率为81。8美国10月工业产出月率上升0.2%;产能利用率为82.2%。9.美国10月制造业产出下降0.2%;产能利用率为80.7%。10.欧圆区10月消费者物价指数月增0.1%;年增1.6%;欧圆区10月核心消费物价指数月率上升0.3%;年率上升1.5%。11.英国10月零售销售月率上升0.9%;年率上升3.9%。12.英国至10月三个月零售销售季率上升0.6%;年率上升3.7%。13.日本9月领先指标修正后为18.2,初值为20.0;日本9月同步指标修正后为45,初值为50.0。
昨日美国公布的10 月24 日至25 日联邦公开市场操作委员会会议纪录显示美联储委员较为关注通胀而非经济增长,他们较为忧虑通胀回落的速度会比预期慢,并认为在有需要时候仍要加息。而纽约州制造业报告显示美国制造业指数由十月份的22.9 上升至十一月份的26.7,市场本来预期要下跌到15.0。这也为美圆带来支持。但其他地区的调查以及全国的供应管理协会指数均显示制造业在放缓,美圆升幅受到限制。非美货币仍徘徊在主要的支撑位置,等待有利的数据而向上。
回复
点赞
使用道具
举报
显身卡
willieloke
楼主
Lv.65
发表于 2006-11-17 15:56
|
查看全部
原帖由
Juling888
于 17/11/2006 03:54 PM 发表
xiexie
回复
点赞
使用道具
举报
显身卡
willieloke
楼主
Lv.65
发表于 2006-11-17 16:03
|
查看全部
短线介入英镑 通过反弹获利 - 罗济润 (11月17日)
周四的亚洲外汇市场尾盘,英镑兑美元小幅走低至1.8880,在此前连续三天的下跌令英镑损失了300点的涨幅之后,投资者短线不妨介入英镑,在英镑的反弹中获利。
从技术图形看,英镑兑美元自1.8516上涨至1.9180后50%的黄金分割位在1.8850附近,30日均线恰好运行至1.8853,预计1.8850附近存在短线较强的支撑。建议投资者在1.8930至1.8850附近逢低买入英镑,英镑短线有望回升至双顶颈线位1.8950。
回复
点赞
使用道具
举报
显身卡
willieloke
楼主
Lv.65
发表于 2006-11-17 16:04
|
查看全部
日元区间震荡 - 刘杰 (11月17日)
昨天日本央行政策委员会成员一致投票决定维持货币政策不变,原因是近期经济和金融形势尚不足以令现行货币政策出现调整。在为期两天的会议上,日本央行将无担保隔夜拆款利率维持在0.25%。日本央行还维持1.2万亿日圆的月度国债购买规模不变。日本央行的决定与市场预期一致,因为自从政策委员会10月31日召开上一次利率会议以来,日本的经济及市场状况并未发生显着变化。日本央行将于12月15日发布12月份企业景气调查数据,随后将在12月18日至19日召开政策会议。目前市场关注的焦点已经转向了日本央行是否会在此次会议上讨论加息的问题。昨天下午日本央行公布经济月报,维持对经济的看法不变,并称日本经济正在温和扩张。央行月报指出,由于油价下跌的效应犹存,企业物价指数(CGPI)上扬速度可能持续放缓。日本经济正在温和扩张,11月央行月报指出。日央行维持对消费的评估不变,日央行还指出,消费正处于成长趋势。日央行维持先前看法,预期生产将维持在成长趋势。除此之外,该行称消费者物价可能会维持正成长趋势,与前月预估一致。昨天下午日本央行总裁福井俊彦在记者会上表示,他不会排除任何未来升息的可能时点,他并强调央行对于何时升息没有预设想法。他并指出,最近像个人消费等疲软的经济数据,不会改变日央行两周前在半年经济展望报告中对经济的评估看法。福井俊彦还指出会密切观察国内外数据,他说日央行正观察国内外各种经济数据,包括圣诞节前后的美国消费情况等。但他称日本货币政策并未与美国圣诞节销售有直接的关联。福井近来虽然对经济评估仍持乐观态度,但他对于未来的货币政策却显得不愿多言。在继俄罗斯、瑞士和阿联酋等国央行纷纷表示将在外汇储备中吸纳更多日元,昨天中国人民银行副行长吴晓灵的谈话指出,中国央行已经买进日圆。该消息报道引述她在印尼会议场外的谈话中指出,我们已经买进日圆。昨天日元受中央行行长讲话激励短暂走高,但由于本周公布的国内生产总值(GDP)数据中消费及薪资均出现低迷的表现,市场担心日本经济再现低潮,加之福井始终不愿对未来货币政策作出预测,市场再度打压日元下探支撑位:118.40,近期日元运行区间:117.00—118.40。昨天晚上美国美国财政部公布的九月净资产流入为537亿美元,较八月份少434亿美元,其中国债首次出现2003年2月以来净卖出。而且九月份净资产流入金额低于同月643亿美元贸易赤字。美联储公布的10月工业产出上升0.2%,高于此前9月的下滑0.6%。同时10月产能利用率上升0.1%至82.2%,9月产能利用率修正后上升0.2%至82.1%。10月产能利用率依然保持在1972年-2005年平均水准上方。同时根据美国劳工部公布的数据显示,美国10月季调后CPI月率下降0.5%,核心CPI季调后月率上升0.1%,这是自今年2月份以来的最低水平。10月份CPI降低主要受能源价格持续走低的影响,美国10月消费者物价指数(CPI)不及预期,暗示美国通胀水平已经降至八个月来的最低点。受温和的10月通胀数据影响,市场猜测美联储可能在明年第一季度降息的可能性增强。虽然目前期货市场依然预期美联储将在12月份的政策会议上维持利率不变,但在明年1月份降息的可能性却由隔夜的0%升至6%,明年3月份降息的可能性由14%升至32%。今日美指关注阻力位:85.50,若突破该阻力位将看:86.00、86.40,否则将继续下探支撑位:84.70、84.40。
昨天原油价格大跌,短暂跌破油价多空支撑位:56.00美元/桶。虽然昨晚公布的疲弱美国数据一度支撑黄金的上扬,但金价未能突破上涨阻力位:632.00美元/盎司后,受油价下跌影响下跌。从当前黄金走势看,金价应该处在区间震荡格局。今天依然关注黄金运行区间:615.00美元/盎司—632.00美元/盎司。
回复
点赞
使用道具
举报
显身卡
willieloke
楼主
Lv.65
发表于 2006-11-17 16:12
|
查看全部
行情使然 嫌善小可以不为 - 大鹏 (11月17日)
分析观点:
欧系:涨势明确,唯斟酌回调价位进场较为理想;应注意GBP/USD的调整速度,操作此货币的逢低买入不若做多欧元、瑞郎来得稳妥;
日元:继续以逢高卖出美元为主;117.20意外坚挺后的再次受压能否承受值得怀疑,买入美元仍需对风险有正确的认识以及相应的防范措施;
大洋系:逢低买入的操作不如欧系货币,不作为主流货币考虑;
加元:USD/CAD于1.1460附近的价位考虑买入加元;
日元交叉盘:逢高卖出为主,逢低买入务必设定止损且以短线交易为主。依旧重复着奇怪的EUR/JPY、GBP/JPY与AUD/JPY、NZD/JPY相反波动的行情,尽管大洋系货币的日元交叉盘反弹的速度较快、幅度也略超出预期,可操作上仍以逢高卖出为主、逢低买入为辅。
回复
点赞
使用道具
举报
显身卡
willieloke
楼主
Lv.65
发表于 2006-11-17 16:13
|
查看全部
11月17日外汇交易指南 - 螃蟹 (11月17日)
欧元/美元
预计波动:1.2850-1.2730
入市策略:沽出欧元
入市价格:1.2850-1.2830
止损价格:50点
目标价格:1.2730
英镑/美元
预计波动:1.8850-1.8950
入市策略:去件交易
入市价格:
止损价格:50点
目标价格:100点
美元/日元
预计波动:117.50-118.50
入市策略:买入美元
入市价格:117.50
止损价格:50点
目标价格:118.50
美元/瑞郎
预计波动:1.2430-1.2530
入市策略:买入美元
入市价格:1.2430左右
止损价格:1.2380左右
目标价格:1.2530
今日走势不太明朗
原则建议观望
今日关注数据
07:00 美国 10月SEMI订单出货比 1.00
15:45 法国 9月经常帐(欧元) -41亿
15:45 法国 第三季度月薪支付初值 0.3%
18:00 欧元区 9月份贸易收支 -58亿欧元-59亿欧元★★
18:00 欧元区 9月份工业生产 1.8%/月,5.4%/年-0.3%/月★(数据显示欧洲区当前的经济增长状况,若数据上升,欧洲有可能继续升息步伐,将对欧元有利)
21:30 美国 10月新屋开工(万户) 177.2 170.0★(若建筑市场数据出现明显下降趋势,则将对美元不利)
21:30 美国 10月营建许可(万户) 163.8 161.0★
23:30 美国 上周ECRI领先指标(至1110)
央行动态:20:30 法兰克福 ECB副行长帕帕季莫斯及美联储理事费舍尔参加有关"欧元拓展了的重要性"小组讨论
21:45 俄亥俄 克里夫兰联储主席皮纳尔托在"大学,创新和经济发展"研讨会的最后一天致开幕词
22:20 华盛顿 欧央行执委会成员帕雷默就"欧元前景"发表讲话
国际财经:亚太经合组织(APEC)领导人非正式会议,届时各成员国领导人将出席此次会议(至1119)/期间,中国国家主席胡锦涛将会晤美国总统布什(Bush),就中美关系和其他重大问题交换意见并与日本首相安倍晋三(ShinzoAbe)进行双边会晤,双方将在安倍晋三访华的基础上就双边关系和共同关心的国际和地区问题进一步交换意见
回复
点赞
使用道具
举报
显身卡
1
2
3
4
5
6
7
8
9
10
... 19
/ 19 页
下一页
返回列表
发布新帖
回复
高级模式
B
Color
Image
Link
Quote
Code
Smilies
您需要登录后才可以回帖
登录
|
注册审核通过,发送账户名称给版主,请加版主微信:1044631611
本版积分规则
发表回复
回帖并转播
回帖后跳转到最后一页
willieloke
楼主
+ 关注
发消息
本周3月29 - 4月2日经济指标
2010-03-29
本周3月29 - 4月2日经济指标
2010-03-29
本周3月22-26日经济指标
2010-03-22
本周3月22-26日经济指标
2010-03-22
本周3月15-19日经济指标
2010-03-15
查看更多
图文热点
2026.4.22 图文交易计划:美指反弹收阳 却
411 人气
#黄金外汇论坛
2026.4.21 图文交易计划:空头强势回归 美
317 人气
#黄金外汇论坛
黄金AI量化对冲
415 人气
#黄金外汇论坛
2026.4.14 图文交易计划:镑美突破压制 打
923 人气
#黄金外汇论坛
上一主题
下一主题
浏览过的版块
欧元 & 瑞郎
Y2 爱心专区
现场直播室
论坛贡献
关灯
在本版发帖
扫一扫添加微信客服
QQ客服
返回顶部
快速回复
返回顶部
返回列表