返回列表 发布新帖

11月11-13日的外汇资讯,汇评与新闻

评论161

willieloke楼主Lv.65 发表于 2006-11-13 20:28 | 查看全部
https://www.y2cn.com
唐国平11-13外汇保证金交易操作建议

  英镑:预计今天的波动在:1.9059-1.9197

  今天要关注的重点是1.1910这个点位将是今天多空的转折.1.9110之上保持做多的策略.

  还有就是1.9154-1.9169这个英镑多年来的敏感区域

  保持区间操作:早上本人在1.9132的时候多单现在已经于1.9138的时候平仓.等待1.9154-1.9169区域做空英镑. 止损:1.9180上方目标:1.9050



  欧元:预计今天的波动在:1.2915-1.2820

  今天的关键是1.2840将是今天欧元的多空转折点.

  保持区间交易:本人将做欧元:1.2875附近空止损1.2900上方目标:1.2820

  根据实际的行情做出保证金交易操作.将在论坛上及时公布自己的真实的做单点位..

  今天本人将已欧元作为今天的主要交易货币,具体做单实际将在论坛上即使更新.
tang1.gif
tang2.gif
回复 点赞

使用道具 举报

willieloke楼主Lv.65 发表于 2006-11-13 20:35 | 查看全部
马珂威11月13日货币操作建议

  每日操作建议

  一.当日各币种可能捕捉之波段入场机会

  1.美圆兑日圆: 买入美圆:115.60止损:115.30目标:122.00

  买入美圆:114.40止损:114.10目标:122.00

  2.英镑兑美圆: 买入英镑: 1.8920止损: 1.8890目标: 1.9250

  买入英镑:1.8840止损:1.8810目标:1.9250

  3.欧圆兑美圆: 买入欧圆:1.2740止损:1.2710目标:1.3150

  4.澳圆兑美圆: 买入澳圆:0.7630止损:0.7600目标:0.7950

  5.美圆兑加圆: 卖出美圆: 1.1310止损: 1.1340目标: 1.1110(持有)

  买入美圆:1.1030止损:1.1000目标:1.1400

  6.美圆兑瑞郎: 卖出美圆:1.2750止损:1.2780目标:1.2270(持有)

  卖出美圆:1.2510止损:1.2540目标:1.2200

  7.英镑兑日圆: 买入英镑:215.15止损:214.80目标:223.50

  SELLSTOP:222.20止损:222.50目标:217.00

  以上买卖点仍需适当校正,可能是捕捉波段之理想价位,但对交易本身需保持高度警惕,在价格走势模糊时,需即刻离场观望。

  以上仅为个人观点,供你参考,我们的观点和估计构成了我们的判断,并在不通知的情况下随时可能改变,以往的业绩并不构成对未来结果的暗示。

    基本面情况:
  上周五公布的数据:1.美国上周ECRI领先指标年成长率为0.3%;前周为负0.3%。2.美国上周ECRI领先指标升至137.5;前周为136.1。3.日本9月核心机械订单月降7.4%;年降1.5%。4.日本4季度机械订单预计季增5.7%。5.德国10月批发物价指数月降0.2%;年增2.9%。6.法国第三季度GDP年率上升1.9%;预期上升2.4%。7.法国9月工业产出年率上升0.6%;预期上升1%。8.法国9月工业产出月率下降0.9%;预期上升0.3%。9.法国9月贸易赤字为13.48亿欧圆;预期赤字32亿欧圆。10.法国10月CPI月率下降0.2%;年率上升1.1%。11.意大利9月工业产出月率下降1%;年率上升1.3%。12.加拿大11月8日当周政府储蓄减少3.11亿加圆;加拿大11月8日当周货币指数上扬10个基点。

  上周五非美货币仍然保持强势,虽收盘时候有轻微回落,但似乎为本周非美货币的上涨打开的空间。由于中国人民银行行长周小川在一个访问中表示:中国是有清晰的计划去分散投资外汇储备的,并正在考虑不同的选择。目前因为中国投资环境理想,有大量外资流入,中国外汇储备超过1 兆美圆,是全球拥有最多储备的国家,而周行长的此番表态打压了美圆。除中国以外,俄罗斯、男朝鲜和瑞士都曾提出有类似的计划,分散投资外汇储备的讨论经常在市场出现,也就推动了非美的走势。另外美国的密歇根大学消费者信心指数由十月份的93.6 下跌至十一月份的92.3,也支持非美。从技术上看本周非美货币有起涨的要求,估计经过短暂整理将突破向上。本周有美国零售销售、消费者物价指数以及资本净流入等重要数据的公布,看能否对美圆有利。
回复 点赞

使用道具 举报

旦旦Lv.10 发表于 2006-11-13 20:42 | 查看全部
晚上好,棒棒总算下来了。
回复 点赞

使用道具 举报

willieloke楼主Lv.65 发表于 2006-11-13 20:44 | 查看全部
张革11月13日黄金周线分析

11-13黄金周线分析:
  上升阻力依然受制约于1/:AB和CD两条压力线的交和点------640.50;
2/: 密切注意到前期最大跌幅的0.5回条位------636.20;
3/:根据k线组合原理,上周的收盘价未高过上上周的最高价------有调整的要求;
建议:1如破掉636.20,可短线追买,目标-----640.50;  止损3元  2/见到640.50可短线做空,目标620/612,止损2元;   3/现价631.30做空,止损637,目标620;613.
图片1地址:

11-13日圆周线分析:
   下跌阻力受制约于1/:AB和CD两条压力线的交和点------117。06/09;
                   2/:根据k线组合原理,上周的收盘价未低于上上周的最低价-                      -----有向上调整的要求;
    建议: 如有117。09附近的价位,短线可做多USD/JPY,止损位  116.56,
    目标为118.00。
图片2地址:

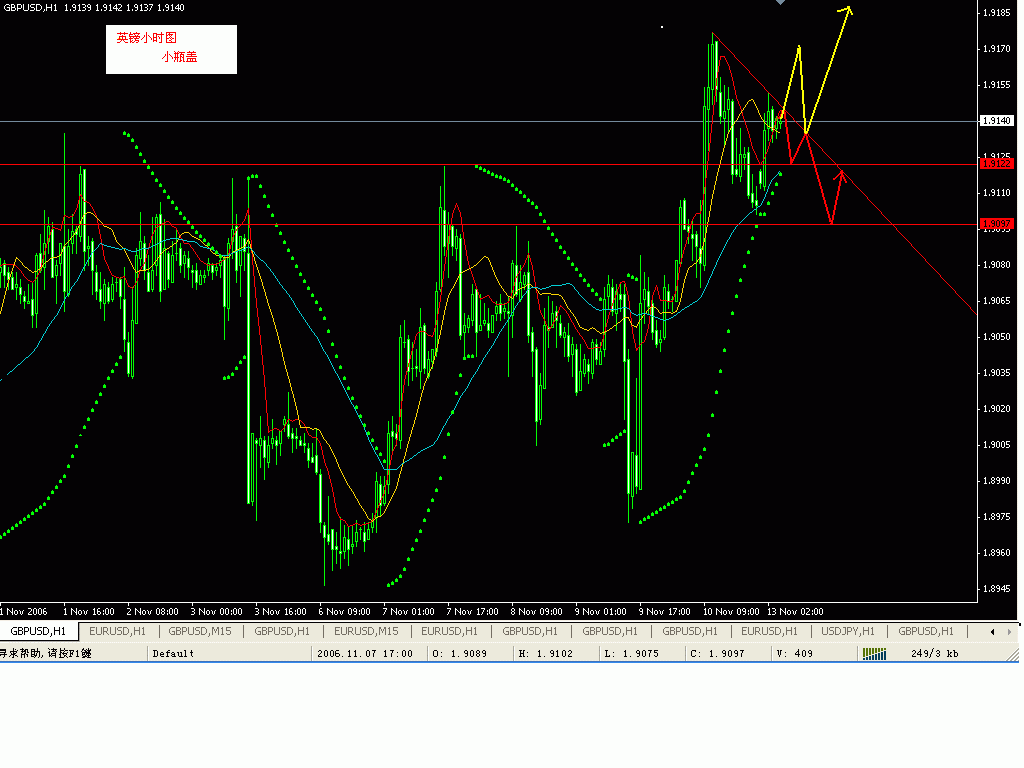
11-13英镑周线分析:
      根据k线组合原理,上周的收盘价未高过上上周的最高价------有调整的要;
      从“张氏数浪法则”看,已经是连续第4根阳线---------可见相对短期高点      已经临近。做多需谨慎。
图片3地址:

11-13欧元周线分析:
     与英镑有所不同的是:欧元的周线尚未破掉上档压力线,整体走势与英镑比      -----偏弱。现在上方面临的压力位置如图-------时间纵轴与压力线的交点        =1。2896
     可密切关注此位置。则机而动。
图片4地址:
zg1.gif
zg2.gif
zg3.gif
zg4.gif
回复 点赞

使用道具 举报

willieloke楼主Lv.65 发表于 2006-11-13 20:47 | 查看全部
原帖由 旦旦 于 13/11/2006 08:42 PM 发表
晚上好,棒棒总算下来了。


谢花. BB有百点入袋了?
回复 点赞

使用道具 举报

willieloke楼主Lv.65 发表于 2006-11-13 21:02 | 查看全部
欧元/美元分析及操作建议 - 智研
 
上周末欧市早盘美元继续在周小川有关储备多样化讲话打压下下跌,并跌至2个月新低84.70。但本时间段内,汇市窄幅波动,只在临近收盘时,美元在空头回补支持下反弹至85.00上方。本周将会是美国经济数据公布的高峰期,10月份CPI、PPI、设备使用率、新房开工以及建筑许可数据将会悉数登场,同时10月份美国联邦公开市场委员会(FOMC)会议纪要也将在本周四公布。
目前大多数分析师预计12月12日的FOMC将依然维持利率不变,但是这并不代表对于数据关注程度的降低,市场仍然希望从中得到美联储下一步行动的指引。
伯南克上周五在德国法兰克福的一次学术演讲中表示,美联储将依然密切关注货币供应方面的数据,但是这将不会是美联储利率决策的重要决定因素。
在伯南克看来,虽然一些经济理论表明货币供应量和货币政策有着密切联系,但是他认为将货币政策严重依赖于货币供应量的做法显然已经不适合美国目前的国情。他的理由包括金融创新以及其他因素使得各种货币总量与其他名义变量之间的关系十分不稳定。
这可能意味着伯南克正式表示与他的前辈以及欧洲央行同仁们在货币政策理念上分道扬镳。

这种判断上的分歧就可以解释为何美联储在今年初宣布不再公布M3数据,而欧洲央行仍将4.5%的M3增长率视为物价稳定的重要指标。
那么对于我们来说,这可能意味着我们在预测美联储以及欧洲央行利率前景的时候关注的指标可能有所差异,在欧洲货币供应指标不容忽视,而在美国经济运行数据才是关键,而美联储也将更加倾向于通过利率政策来控制通胀。而市场将如何对这种转变作出应对,本周即可略知一二。
关注本周美国的通胀数据,包括周二的PPI、周三的会议记录和周四的CPI。

欧元在日线图的10天平均线已在上周升穿100天平均线,故欧元倾向继续做好。现在10天平均线在1.2750附近,应是欧元短暂的支持。而较强大支持则在1.2685,即10周平均线和下降通道顶部位置,倘若跌破1.2685支持位,将有机会下试100周平均线及保历加通道底部即1.2480/1.2510支持区。而上升阻力则在周线图的保历加通道顶部即1.2930附近。再而企稳于1.29水平上方,则见较明显之上升走向,后期阻力预计参考至5月及6月高位1.2970/1.2980水平。
建议在1.2860附近卖出欧元/美元,目标价位1.2780附近,止损价位1.2910附近。
回复 点赞

使用道具 举报

willieloke楼主Lv.65 发表于 2006-11-13 21:05 | 查看全部
英镑/美元分析及操作建议 - 智研
 
上周末欧市早盘美元继续在周小川有关储备多样化讲话打压下下跌,并跌至2个月新低84.70。但本时间段内,汇市窄幅波动,只在临近收盘时,美元在空头回补支持下反弹至85.00上方。本周将会是美国经济数据公布的高峰期,10月份CPI、PPI、设备使用率、新房开工以及建筑许可数据将会悉数登场,同时10月份美国联邦公开市场委员会(FOMC)会议纪要也将在本周四公布。
目前大多数分析师预计12月12日的FOMC将依然维持利率不变,但是这并不代表对于数据关注程度的降低,市场仍然希望从中得到美联储下一步行动的指引。
伯南克上周五在德国法兰克福的一次学术演讲中表示,美联储将依然密切关注货币供应方面的数据,但是这将不会是美联储利率决策的重要决定因素。
在伯南克看来,虽然一些经济理论表明货币供应量和货币政策有着密切联系,但是他认为将货币政策严重依赖于货币供应量的做法显然已经不适合美国目前的国情。他的理由包括金融创新以及其他因素使得各种货币总量与其他名义变量之间的关系十分不稳定。
这可能意味着伯南克正式表示与他的前辈以及欧洲央行同仁们在货币政策理念上分道扬镳。

这种判断上的分歧就可以解释为何美联储在今年初宣布不再公布M3数据,而欧洲央行仍将4.5%的M3增长率视为物价稳定的重要指标。
那么对于我们来说,这可能意味着我们在预测美联储以及欧洲央行利率前景的时候关注的指标可能有所差异,在欧洲货币供应指标不容忽视,而在美国经济运行数据才是关键,而美联储也将更加倾向于通过利率政策来控制通胀。而市场将如何对这种转变作出应对,本周即可略知一二。
关注本周美国的通胀数据,包括周二的PPI、周三的会议记录和周四的CPI。

英磅上周继续在下降通道顶部外运行,预料下降通道顶即1.8995将成为英磅支持,若跌破1.8995将下试10周平均线1.8830水平。较近支持则可参考至5天及10天平均线目前之交接位置1.9050水平。预计进一步上涨目标将分别见至1.92及05年3月份高位1.9325水平。
建议在1.9140附近卖出英镑/美元,目标价位1.9060附近,止损价位1.9190附近。
回复 点赞

使用道具 举报

willieloke楼主Lv.65 发表于 2006-11-13 21:05 | 查看全部
美元/日元分析及操作建议 - 智研
 
上周末欧市早盘美元继续在周小川有关储备多样化讲话打压下下跌,并跌至2个月新低84.70。但本时间段内,汇市窄幅波动,只在临近收盘时,美元在空头回补支持下反弹至85.00上方。本周将会是美国经济数据公布的高峰期,10月份CPI、PPI、设备使用率、新房开工以及建筑许可数据将会悉数登场,同时10月份美国联邦公开市场委员会(FOMC)会议纪要也将在本周四公布。
目前大多数分析师预计12月12日的FOMC将依然维持利率不变,但是这并不代表对于数据关注程度的降低,市场仍然希望从中得到美联储下一步行动的指引。
伯南克上周五在德国法兰克福的一次学术演讲中表示,美联储将依然密切关注货币供应方面的数据,但是这将不会是美联储利率决策的重要决定因素。
在伯南克看来,虽然一些经济理论表明货币供应量和货币政策有着密切联系,但是他认为将货币政策严重依赖于货币供应量的做法显然已经不适合美国目前的国情。他的理由包括金融创新以及其他因素使得各种货币总量与其他名义变量之间的关系十分不稳定。
这可能意味着伯南克正式表示与他的前辈以及欧洲央行同仁们在货币政策理念上分道扬镳。

这种判断上的分歧就可以解释为何美联储在今年初宣布不再公布M3数据,而欧洲央行仍将4.5%的M3增长率视为物价稳定的重要指标。
那么对于我们来说,这可能意味着我们在预测美联储以及欧洲央行利率前景的时候关注的指标可能有所差异,在欧洲货币供应指标不容忽视,而在美国经济运行数据才是关键,而美联储也将更加倾向于通过利率政策来控制通胀。而市场将如何对这种转变作出应对,本周即可略知一二。
关注本周美国的通胀数据,包括周二的PPI、周三的会议记录和周四的CPI。

美元/日元目前在117.24/27继续承压。早前下跌到低点117.13,引发117.20下方少量止损。日本信托银行是积极卖家,猜测与美国债券到期的资金回流相关。传言来自Kampo的买盘位于117.20上方,但这些买盘的支撑似乎有限。来自日本进口商和其它交易商的买盘位于117.00附近,目前限制汇价下行。止损位于117.00下方。传言今晚伦敦定息时将有更多资金回流,投机交易商可能进一步推动汇价引发这些止损。上方阻力位于117.70,Ichimoku云顶位于117.78。部分止损位于117.70上方,主要来自短线帐户。
建议在117.20附近买入美元/日元,目标价位118.00附近,止损价位116.70附近。
回复 点赞

使用道具 举报

willieloke楼主Lv.65 发表于 2006-11-13 21:05 | 查看全部
澳元/美元分析及操作建议 - 智研

上周末欧市早盘美元继续在周小川有关储备多样化讲话打压下下跌,并跌至2个月新低84.70。但本时间段内,汇市窄幅波动,只在临近收盘时,美元在空头回补支持下反弹至85.00上方。本周将会是美国经济数据公布的高峰期,10月份CPI、PPI、设备使用率、新房开工以及建筑许可数据将会悉数登场,同时10月份美国联邦公开市场委员会(FOMC)会议纪要也将在本周四公布。
目前大多数分析师预计12月12日的FOMC将依然维持利率不变,但是这并不代表对于数据关注程度的降低,市场仍然希望从中得到美联储下一步行动的指引。
伯南克上周五在德国法兰克福的一次学术演讲中表示,美联储将依然密切关注货币供应方面的数据,但是这将不会是美联储利率决策的重要决定因素。
在伯南克看来,虽然一些经济理论表明货币供应量和货币政策有着密切联系,但是他认为将货币政策严重依赖于货币供应量的做法显然已经不适合美国目前的国情。他的理由包括金融创新以及其他因素使得各种货币总量与其他名义变量之间的关系十分不稳定。
这可能意味着伯南克正式表示与他的前辈以及欧洲央行同仁们在货币政策理念上分道扬镳。

这种判断上的分歧就可以解释为何美联储在今年初宣布不再公布M3数据,而欧洲央行仍将4.5%的M3增长率视为物价稳定的重要指标。
那么对于我们来说,这可能意味着我们在预测美联储以及欧洲央行利率前景的时候关注的指标可能有所差异,在欧洲货币供应指标不容忽视,而在美国经济运行数据才是关键,而美联储也将更加倾向于通过利率政策来控制通胀。而市场将如何对这种转变作出应对,本周即可略知一二。
关注本周美国的通胀数据,包括周二的PPI、周三的会议记录和周四的CPI。

澳元/美元坚挺在0.7670附近,未能因美元大幅疲软而获得上扬。澳储行的季度报告表示将在未来数月里关注近期升息对经济的影响。澳元/纽元今日走势持平,美元兑其它主要货币卖盘成市场焦点,澳元和纽元受冷漠。澳元/美元关键支持位与20日均线0.7655附近,上破此位将指向目标0.7410/0.7767的38.2%回挡0.7630。
建议在0.7680附近卖出澳元/美元,目标价位0.7600附近,止损价位0.7730附近。
回复 点赞

使用道具 举报

willieloke楼主Lv.65 发表于 2006-11-13 21:06 | 查看全部
美元/加元分析及操作建议 - 智研

上周末欧市早盘美元继续在周小川有关储备多样化讲话打压下下跌,并跌至2个月新低84.70。但本时间段内,汇市窄幅波动,只在临近收盘时,美元在空头回补支持下反弹至85.00上方。本周将会是美国经济数据公布的高峰期,10月份CPI、PPI、设备使用率、新房开工以及建筑许可数据将会悉数登场,同时10月份美国联邦公开市场委员会(FOMC)会议纪要也将在本周四公布。
目前大多数分析师预计12月12日的FOMC将依然维持利率不变,但是这并不代表对于数据关注程度的降低,市场仍然希望从中得到美联储下一步行动的指引。
伯南克上周五在德国法兰克福的一次学术演讲中表示,美联储将依然密切关注货币供应方面的数据,但是这将不会是美联储利率决策的重要决定因素。
在伯南克看来,虽然一些经济理论表明货币供应量和货币政策有着密切联系,但是他认为将货币政策严重依赖于货币供应量的做法显然已经不适合美国目前的国情。他的理由包括金融创新以及其他因素使得各种货币总量与其他名义变量之间的关系十分不稳定。
这可能意味着伯南克正式表示与他的前辈以及欧洲央行同仁们在货币政策理念上分道扬镳。

这种判断上的分歧就可以解释为何美联储在今年初宣布不再公布M3数据,而欧洲央行仍将4.5%的M3增长率视为物价稳定的重要指标。
那么对于我们来说,这可能意味着我们在预测美联储以及欧洲央行利率前景的时候关注的指标可能有所差异,在欧洲货币供应指标不容忽视,而在美国经济运行数据才是关键,而美联储也将更加倾向于通过利率政策来控制通胀。而市场将如何对这种转变作出应对,本周即可略知一二。
关注本周美国的通胀数据,包括周二的PPI、周三的会议记录和周四的CPI。

加元上周低位亦再次迫近250天平均线,但仍然获见支撑。预计250天平均线位置仍为本周关键支撑。另外,10月份低位1.1420及7月份低位1.1450水平亦将为一大关键。倘若碰位将见较明显之抛售压力,因加元已有近大半年上落于1.1450下方,破位或将触发一轮限价盘。预计直至1.1600才见有意义之支撑位。
建议在1.1280附近买入美元/加元,目标价位1.1350附近,止损价位1.1230附近。
回复 点赞

使用道具 举报

回复

本版积分规则

关灯 在本版发帖
扫一扫添加微信客服
QQ客服返回顶部
快速回复 返回顶部 返回列表