返回列表 发布新帖

从此波EUR上涨来看外汇走势的严谨性和技术性

评论127

Lexus楼主 发表于 2006-11-10 00:58 | 查看全部
https://www.y2cn.com
提示: 作者被禁止或删除 内容自动屏蔽
回复 点赞

使用道具 举报

焱森Lv.2 发表于 2006-11-10 01:08 | 查看全部
原帖由 Lexus 于 2006-11-10 00:43 发表

每一个段落的分浪结构不是5浪 而是三浪,
你画图数给偶看看,
第五浪是个延伸浪,不然5浪4整理太长不对
图上的浪是软件根据模型算出来的,红色的箭头是偶画的预期部份


嘿嘿 首先表示下 我对你的波浪功底很欣赏 和你纯属学术探讨 非有恶意  走了几个论坛找不到同好
观察你很久 希望可以交个朋友做学术交流
欧.gif
回复 点赞

使用道具 举报

焱森Lv.2 发表于 2006-11-10 01:18 | 查看全部
哎 不能不佩服主力控盘技巧 也不能不佩服机构们对关键位的抢点那么坚决
欧.gif
回复 点赞

使用道具 举报

Lexus楼主 发表于 2006-11-10 01:21 | 查看全部
提示: 作者被禁止或删除 内容自动屏蔽
回复 点赞

使用道具 举报

焱森Lv.2 发表于 2006-11-10 01:37 | 查看全部
原帖由 Lexus 于 2006-11-10 01:21 发表

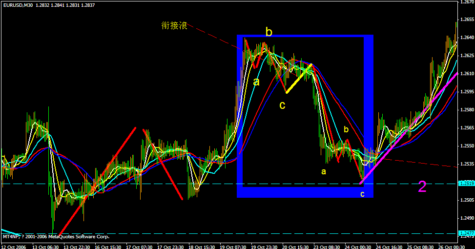
不过看你的图感觉也不太对,推动浪怎么会是a-b-c三浪的结构呢,图上的2浪是个5浪的下跌,我自己数浪的话基本靠经验了,这EUR图上有的浪型走的是有点怪异


嘿嘿  看过你们几次辩论  
推动浪的分浪结构是3浪  有以下几种情况
一 三重矩尺调整浪 其整体外型上表现出推动浪5浪结构
二 终结三角型 其分浪结构为3浪结构 或矩尺型调整浪的A和C都可以是3浪为分浪组成5浪以形成

对于图中的2浪 当时我也是粗看成5浪  并发过贴 说还有一小浪结束在1.2495附近 可是没有
直接启动了3浪 事后我仔细辨认2浪其实是个双重小矩尺( 在30分钟上辨认 但从四小时粗看确实象个五浪)

[ 本帖最后由 焱森 于 2006-11-10 01:48 编辑 ]
欧.gif
回复 点赞

使用道具 举报

百美雪儿Lv.3 发表于 2006-11-10 01:43 | 查看全部
在这里看见焱森老师高兴啊!顶一下,搬个板凳认真听课!
回复 点赞

使用道具 举报

Lexus楼主 发表于 2006-11-10 01:43 | 查看全部
提示: 作者被禁止或删除 内容自动屏蔽
回复 点赞

使用道具 举报

焱森Lv.2 发表于 2006-11-10 01:46 | 查看全部
原帖由 百美雪儿 于 2006-11-10 01:43 发表
在这里看见焱森老师高兴啊!顶一下,搬个板凳认真听课!


嘿嘿 英镑和欧 都赚到没
回复 点赞

使用道具 举报

周老财 发表于 2006-11-10 01:50 | 查看全部
提示: 作者被禁止或删除 内容自动屏蔽
签名被屏蔽
回复 点赞

使用道具 举报

百美雪儿Lv.3 发表于 2006-11-10 01:51 | 查看全部
原帖由 焱森 于 2006-11-10 01:46 发表


嘿嘿 英镑和欧 都赚到没

不好意思,英镑赚到一点,OO忍了一周,今天一出手就套。不过可以扛5000点,不止损了。
回复 点赞

使用道具 举报

回复

本版积分规则

关灯 在本版发帖
扫一扫添加微信客服
QQ客服返回顶部
快速回复 返回顶部 返回列表