返回列表 发布新帖

来论坛好久,开始筑楼之路,支撑吐槽都到碗里来

 

评论332

西天楼主Lv.3 发表于 2014-6-10 15:58 | 查看全部
https://www.y2cn.com
1.jpg

2.jpg

黄金白银3角区间整理末端,突破前,区间上轨做空,建议如同昨日
大家都是爱好者
回复 点赞

使用道具 举报

西天楼主Lv.3 发表于 2014-6-10 22:20 | 查看全部
上方重要压力在69-73 此处重新做空

晚间接近55做多,58轻仓,暂时注意晚间高点继续上破情况,小三角突破,威力不该只是这么点
大家都是爱好者
回复 点赞

使用道具 举报

西天楼主Lv.3 发表于 2014-6-11 09:14 | 查看全部
回踩多单应该获利中,看看今天的压力,空中加油两次,原本的空中楼阁似乎现在有点意思

今天第一压力64.2,上方69-73,找机会可以进空

白银在3800整数关口不死不活,多空都不适宜,我们等待3830上方做空,3850为佳,止损40个点,先看50-80
大家都是爱好者
回复 点赞

使用道具 举报

西天楼主Lv.3 发表于 2014-6-11 13:54 | 查看全部
几年来,在市场中的渐渐地改变了很多:
1、以前喜欢高空低多,现在喜欢越高越多,越低越空!
2、以前喜欢重要事件之前空仓,事件一出来就冲进去,现在喜欢重要事件公布之时空仓,第二天才进入。
3、以前喜欢寻找所谓的入场点位,现在喜欢确认趋势是否改变!
4、以前喜欢数据的结果,以为有了结果就有了方向,现在喜欢市场的预期,因为心动就是行动!
5、以前很喜欢做单,怕错过行情,现在很少做单,怕失去金钱。
6、以前总能抓住大行情,但是没有赚钱,真奇怪?现在很少能抓住大行情,但来钱的速度却不错。真舒服。
7、以前喜欢问非农利好还是利空,伯南克说了什么话?现在你只要告诉我非农和伯南克什么时候来就够了,不管你利好利空!
8、以前讨厌周末,不能操作就好像有一种失落感,现在喜欢周末,因为和家人逛逛有一种幸福感!!!
大家都是爱好者
回复 点赞

使用道具 举报

peter001199Lv.3 发表于 2014-6-11 14:06 | 查看全部
回复 44# 西天


   
回复 点赞

使用道具 举报

西天楼主Lv.3 发表于 2014-6-11 17:41 | 查看全部
1.jpg

2.jpg

11.jpg


图片发晚了
大家都是爱好者
回复 点赞

使用道具 举报

西天楼主Lv.3 发表于 2014-6-11 20:09 | 查看全部
58多单下午最高已经到了64.5,同时到了早间给的64.2的压力位置,如果有进取的朋友已经出多翻空的,可以持有观察一下,若是依然持有多单或者空仓的,那么暂时一步步出掉多单,随时准备做空
大家都是爱好者
回复 点赞

使用道具 举报

西天楼主Lv.3 发表于 2014-6-12 09:31 | 查看全部
行情没怎么动  废话不多说,白银空单可以减仓后持有

下方支撑3770-50,做多

黄金晚间64-65空单,已经到达58,短线完美收官,日间保持57-63整理的思路
大家都是爱好者
回复 点赞

使用道具 举报

nainaadLv.2 发表于 2014-6-12 09:38 | 查看全部
这单不错,很漂亮
回复 点赞

使用道具 举报

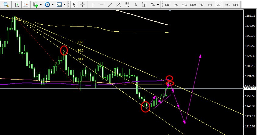
西天楼主Lv.3 发表于 2014-6-13 09:25 | 查看全部
1.jpg

日线趋势线,点位压力显示1284.3,MA135(1277.4)、MA120(1286)周期均线压力,与前期平台压力区域结合,此处作为本周重点压力带,可做空。图片为4小时,4小时MA732压力在1284.5,图中时间周期显示,6-26,那么我们原定计划的6月必有一跌则必须要求这两周内实现,6月底重新见底反弹。因此73空单可以继续持有观察。

2.jpg

日线压力,特殊布林带1279.8,回调位压制1280.6,因此今日的思路是,日线级别压力中线做空。亚盘再次冲击高点不破修复回踩,欧美盘再次到位上攻便是做空良机。

昨日建议1260做多,破位继续追多,单子已经获利,可惜的是多单利润过早离场。

具体建议:

1、下方见1267-64做多,损62,看73-77
2、若今日继续上破77,回踩73做多,损69.4,看79-83,反手做空,损86.8,看中线目标68-55-40,下破持有

新华银:

11.jpg

既然再次突破我们的趋势上轨,那么今天的第一个建议便是回落趋势线做多,3830-3800,从图中也是可以看出上方压力依然在3900-3920之间,维持原判,此处继续做空,中线。

具体建议:

1、3830轻仓多,损3790,看3880-3900
2、3890-3900轻仓空,损3936,看3860-30
3、上方见3920-40中线空,损55个点,看3850-3800-3720
大家都是爱好者
回复 点赞

使用道具 举报

回复

本版积分规则

关灯 在本版发帖
扫一扫添加微信客服
QQ客服返回顶部
快速回复 返回顶部 返回列表