返回列表 发布新帖

7.21欧元早盘分析

2420 1
alce 发表于 2011-7-21 10:37 | 查看全部 阅读模式
https://www.y2cn.com
本帖最后由 alce 于 2011-7-21 11:35 编辑

uer.jpg

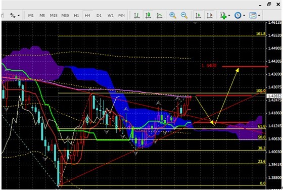
如昨天分析,震荡行情持续,我们倾向逢低做多的思路正确,但欧元并未回落调整,缓慢爬升至前高1.4280附近.

欧元上破4H三角整理区域后,攀升缓慢,但短期的多头已经基本确立.所以除非有重大基本面支持直接上破,欧元将面临一个箱体的黄金分割回调,第一回调目标为图示1.4120位置.


日内操作建议:短期多头确立,逢低做多为主.可尝试在1.4110-1.4140区间做多,第三次测试1.4280上破的可能性很大,点位将指向1.4400;或者直接在1.4280上方做破位多单

消息面:

因有消息称德国与法国已就如何解决希腊债务问题达成一致立场,令人预期该问题将取得真正进展,欧元/美元周四亚市早盘走高。但有分析师指出,欧盟峰会仍可能令投资者失望,欧元后市依然面临回调压力。

在上周初举行的欧元区财长会议上,对希腊第二轮援助谈判没有取得实质进展。随后,对危机扩散至意大利和西班牙这些欧洲核心国家的忧虑迅速升温,因此,欧盟领导人最终决定再度召开紧急会议。

评论1

alce楼主Lv.2 发表于 2011-7-21 11:28 | 查看全部
关注 前高 1.4280附近
回复 点赞

使用道具 举报

回复

本版积分规则

图文热点
关灯 在本版发帖
扫一扫添加微信客服
QQ客服返回顶部
快速回复 返回顶部 返回列表